Contoh Soal Trigonometri Sudut Ganda dan Pembahasannya

Contoh Soal Trigonometri Sudut Ganda dan Pembahasannya - Setelah pada artikel sebelumnya kita sudah pernah membahas dengan lengkap materi trigonometri sudut ganda. Pada kesempatan kali ini kita akan memulai latihan dari contoh soal trigonometri sudut ganda yang nantinya akan kita berikan masing-masing pembahasan secara lengkap. Untuk memudahkan teman Sains Seru, jika nanti terdapat bagian yang kurang jelas atau kurang paham maka dipersilahkan untuk bertanya di kolom komentar yang ada di bagian bawah artikel ya.

Tidak lupa juga jika teman Sains Seru terdapat soal tentang trigonometri sudut ganda yang mau dibahas disini bisa dikirimkan melalui menu contact yang ada di bagian atas ya. Oke baik tidak usah terlalu lama kita langsung masuk ke dalam contoh soalnya ya.
Contoh Soal Trigonometri Sudut Ganda dan Pembahasannya
Google Image - Contoh Soal Trigonometri Sudut Ganda dan Pembahasannya

Contoh Soal Trigonometri Sudut Ganda

Soal trigonometri sudut ganda yang di tunjukkan disini kita ambil dari beberapa buku MTK kelas 11 dan Buku Sekolah Elektronik (BSE).

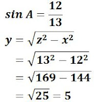
Contoh Soal 1.
Diketahui sin A = 12/13, 0 < A < ½𝜋.
a. Tentukanlah nilai dari sin 2A.
b. Tentukanlah nilai dari cos 2A.
c. Tentukanlah nilai dari tan 2A.
Jawab
Pertama-tama kita harus mencari nilai dari cos A dan tan A untuk mempermudah menjawab soal trigonometri diatas. Untuk mencari nilai dari cos A dan tan A, kita bisa menggunakan konsep dasar "Sin = demi, cos = sami, tan = desa" dimana depan, miring, dan samping bisa dicari menggunakan rumus phytagoras seperti dibawah ini.
Misal:      depan = x
            samping = y
               miring = z
maka
Contoh Soal Trigonometri
Jadi, nilai dari x (depan) = 12, y (samping) = 5, dan z (miring) = 13.
a.
Contoh Soal Trigonometri
jadi, nilai dari sin 2A adalah 0,71.

b. 
Contoh Soal Trigonometri
jadi, nilai dari cos 2A adalah -0,7.

c. 
Contoh Soal Trigonometri
jadi, nilai dari tan 2A adalah -1.


Contoh soal 2.
Jika sin A = 12/13 dan A terletak di kuadran II, tentukanlah nilai:
a. sin 2A
b. cos 2A
Jawab
Sama halnya dengan soal no 1, kita cari terlebih dahulu nilai dari cos A ditambah dengan konsep trigonometri dari kuadran II. kuadran II dalam sin, cos, dan tan adalah sebagai berikut:
sin (180 - A)º = sin A
cos (180 - A)º = -cos A
tan (180 - A)º = -tan A
Maka bisa dikatakan nilai cos dan tan di kuadran II berubah tanda menjadi negatif (-), sedangkan untuk nilai sin tetap tidak berubah tanda. Penyelesaian adalah sebagai berikut:
a. 
Contoh Soal Trigonometri
Jadi, nilai dari sin 2A adalah -0,71.

b.
Contoh Soal Trigonometri
jadi, nilai dari cos 2A adalah -0,7.


Contoh soal 3.
Hitunglah nilai dibawah ini.
a. sin 67,5º
b. cos 22,5º
c. tan 15º
Jawab
a. Kita bisa menggunakan rumus trigonometri sin ½A, sebagai berikut
cos 135º = cos (180 - 135)º
               = -cos 45º                 (kuadran II)
               = -½√2
Contoh Soal Trigonometri
Jadi, nilai dari sin 67,5º adalah 0,92.

b. Kita bisa menggunakan rumus trigonometri cos ½A, sebagai berikut
Contoh Soal Trigonometri
Jadi, nilai dari cos 22,5º adalah 0,92.

c. Kita bisa menggunakan rumus trigonometri tan ½A, sebagai berikut
Contoh Soal Trigonometri
Jadi, nilai dari tan 15º adalah 0,27.


Contoh soal 4.
Sederhanakan bentuk berikut, kemudian hitunglah nilainya!
(2 tan 15º / 1 - tan² 15º)
Jawab
Jika kita lihat tipe soalnya, itu sama dengan rumus trigonometri tan sudut ganda yang sudah pernah kita bahas pada artikel sebelumnya. Penyelesaian sebagai berikut.
Contoh Soal Trigonometri
jadi, nilai dari (2 tan 15º / 1 - tan² 15º) adalah ⅓√3.

Contoh soal 5.
Jika cos 2A = 8/10 dan A sudut lancip, tentukan tan A.
Jawab
Kita bisa menyelesaikan soal ini dengan mencari nilai dari sin A dan cos menggunakan rumus trigonometri yang ada pada cos sudut ganda. Kurang lebih penyelesaian sebagai berikut.
Contoh Soal Trigonometri
Jadi, nilai dari tan A adalah 0,33.

Contoh Soal Trigonometri Sudut Ganda dan Pembahasannya - Demikian pembahasan singkat tentang Contoh Soal Trigonometri Sudut Ganda dan Pembahasannya. Semoga pembahasan singkat diatas bisa bermanfaat bagi teman setia Sains Seru. Jika ada yang mau ditanyakan bisa langsung komentar dibawah ya. Kita akan terus tambah soal dan pembahasan yang lain maka dari itu ikuti terus ya update artikel disini ya. Terimakasih atas perhatiannya, See You.
Previous
Next Post »

3 comments

Click here for comments
ahleyani
admin
November 18, 2018 at 10:16 PM ×

Thanks.Update cara operasi bentuk akar.

Reply
avatar